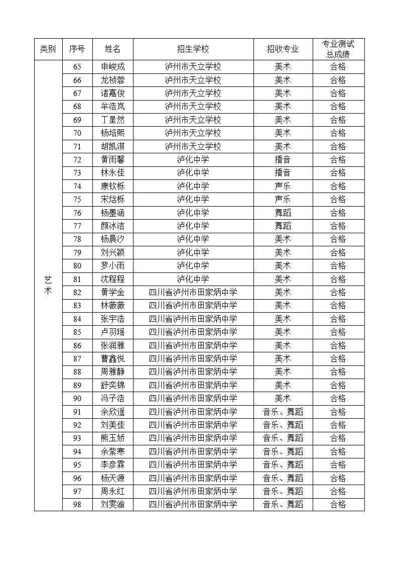
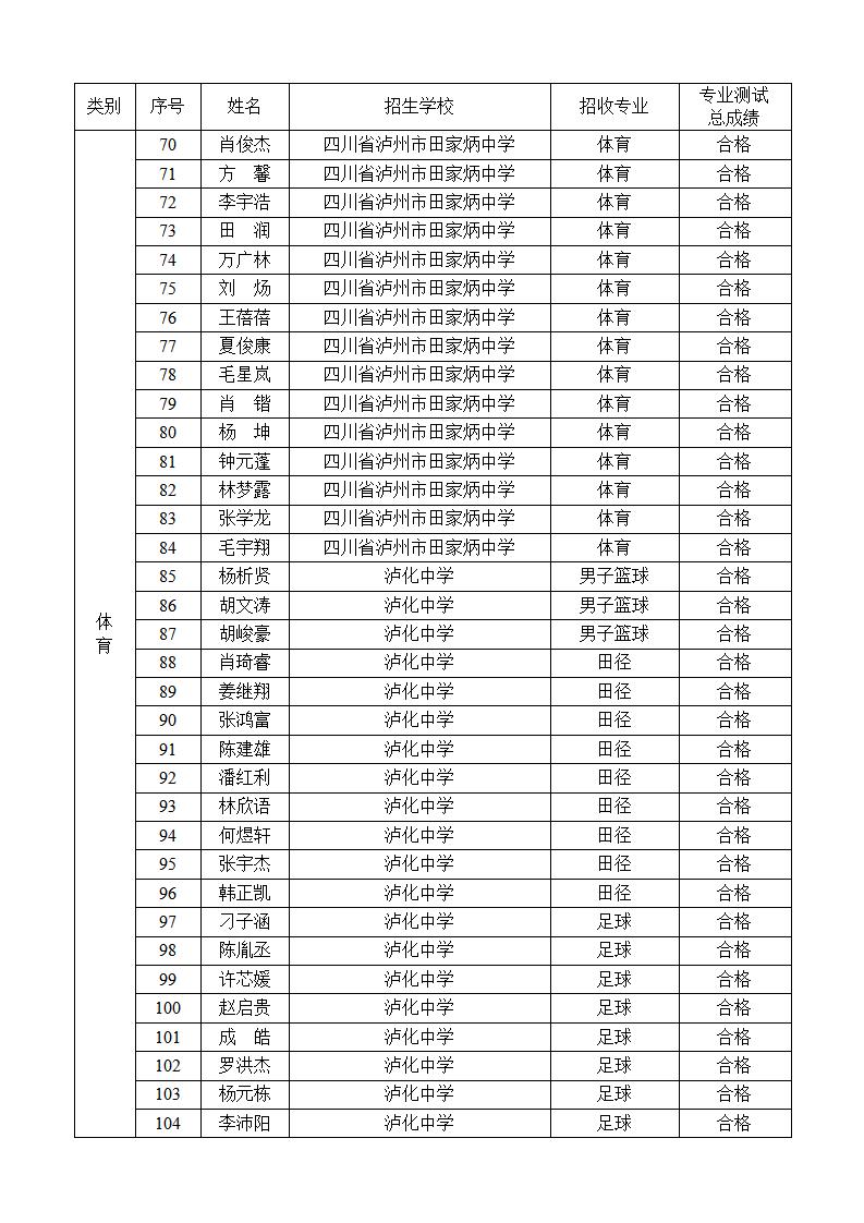
泸州零距离4月22日讯(龙马体育教育) 根据泸州市教育和体育局2026年高中阶段招生工作有关要求,龙马潭区组织辖区内高中学校开展了初升高艺体特长生术科测试工作,现将测试合格名单进行公示(名单详见附件),公示时间为2026年4月21日至27日。
如对公示内容有异议,请在公示期间实名向区教育体育局反映,普通高中艺术特长生相关业务联系电话:0830-2522069,普通高中体育特长生相关业务联系电话:0830-2584381。
附件:龙马潭区2026年初升高艺体特长生术科测试合格名单


泸州零距离4月22日讯(龙马体育教育) 根据泸州市教育和体育局2026年高中阶段招生工作有关要求,龙马潭区组织辖区内高中学校开展了初升高艺体特长生术科测试工作,现将测…
泸州零距离4月22日讯(龙马体育教育) 根据泸州市教育和体育局2026年高中阶段招生工作有关要求,龙马潭区组织辖区内高中学校开展了初升高艺体特长生术科测试工作,现将测试合格名单进行公示(名单详见附件),公示时间为2026年4月21日至27日。
如对公示内容有异议,请在公示期间实名向区教育体育局反映,普通高中艺术特长生相关业务联系电话:0830-2522069,普通高中体育特长生相关业务联系电话:0830-2584381。
附件:龙马潭区2026年初升高艺体特长生术科测试合格名单

